Home
Home
Home

Home
Ernährung
Lebensmittel
Produkte
Sicherheit
Allerlei



ausdrucken... Druckversion

 

Google


Hydrolasen

Zu dieser Gruppe gehören die meisten in der Lebensmitteltechnik eingesetzten Enzyme.

Die Liste wird nach Bedarf fortlaufend ergänzt.


Inhalt


Hydrolasen:

a-Amylase b-Amylase a-D-Galactosidase
Glucoamylase (Exo-1,4-a-D-Glucosidase) Invertase (b-D-Fructofuranosidase) Lactase (b-D-Galactosidase)
Lipasen Lysozym Pektinolytische Enzyme
Proteinasen Pullulanase (Isoamylase) a-L-Rhamnosidase
Tannasen Thioglucosidase


a-Amylase

Wirkungsweise:

a-Amylase gehört zu den Glycosidasen. Das heisst, sie spaltet (hydrolisiert) Stärke (Amylose, Amylopektin), Glykogen und andere 1,4-a-Glucane. a-Amylase spaltet die Amylose dabei in Oligosaccharide* mit einer Länge von 6-7 Glucoseeinheiten. Amylopektin wird offenbar wahllos gespalten. Die Verzweigungsstellen werden dabei übersprungen.

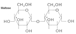
Alpha-MaltoseDie Viskosität einer Stärkelösung nimmt durch die Wirkung der a-Amylase rasch ab. Man spricht auch von einer "Stärke-verflüssigung". Die Jodfärbung verschwindet. Die zunächst entstehenden Dextrine* werden mit der Zeit laufend weiter abgebaut. Es entsteht schliesslich a-Maltose. Die Wirkung von a-Amylase wird durch eine vorgängige Verkleisterung beschleunigt, da das gequollene Substrat besser zugänglich ist.

Herkunft:

a-Amylase wird aus Pankreasdrüsen (Rind, Schwein) und aus Bakterien- (Bac. subtilis) und Schimmelpilzkulturen (Asp. oryzae) gewonnen.

Anwendung:

a-Amylasen werden bei der Herstellung von Gebäck und bei der Produktion von Lebensmitteln aus Stärke eingesetzt (z.B. Bier). a-Amylase dient zusammen mit anderen Enzymen im Fall von Bier während dem Maischen der Unterstützung der bereits im Malz vorhandenen Enzyme. Dies ist insbesondere beim Einsatz von Rohfrucht von Bedeutung.


b-Amylase

b-Amylase spaltet vom nichtreduzierednen Ende der Glucoseketten von Stärke jeweils einen Maltosebaustein nach dem anderen ab (Struktur von a-Maltose siehe unter a-Amylase). Die Hydrolyse ist gleichzeitig mit einer Umkehr am C-1-Atom verbunden, so dass b-Maltose entsteht. Im Gegensatz zur Amylose wird Amylopektin nicht vollständig abgebaut. Die Verzweigungsstellen des verzweigten Amylopektins blockieren schliesslich die Reaktion. Die b-Amylase wird beim Mälzen von Getreide in stärkerem Mass gebildet als die a-Amylase.


Glucoamylase (Exo-1,4-a-D-Glucosidase)

GlucoseDie Glucoamylase setzt vom nichtreduzierenden Ende von Glucoseketten (1,4-a-D-Glucane) jeweils einzelne Glucosemoleküle frei (verzuckerndes Enzym). Dabei werden bei Amylopektin die Verzweigungsstellen (a-1,6-Bindungen) etwa 30mal langsamer gespalten als die a-1,4-Bindungen.

Herkunft:

Glucosidase wird aus Bakterien- und Pilzkulturen gewonnen.


Proteinasen (Proteasen)

Proteasen sind Enzyme (Fermente), die Eiweissverbindungen abzubauen vermögen. Die technologisch verwendeten Gemische von proteolytischen Enzymen enthalten meist Endopeptidasen, die aus tierischen Organen (Pankreas**, Pepsin, Lab [=Chymosin, Rennin]), höheren Pflanzen (Papain, Bromelain, Ficin) oder Mikroorganismen gewonnen wurden.

Anwendung:

  • Die Proteasen werden zum einen bei der Herstellung von Gebäck eingesetzt, um den Kleber zu beeinflussen.
  • Bei der Käsbereitung erfolgt die Milchgerinnung (Caseinfällung) je nach Käsesorte mit Hilfe von Chymosin (Lab, Chymase, Rennin). Das Lab stammt dabei ursprünglich aus den Mägen von noch säugenden Kälbern. Die Verknappung von Lab hat dazu geführt, dass man versucht genügend reines Chymosin aus Mikroorganismen zu gewinnen. Im Labkraut (Galium) aus der Gattung der Rötegewächse kommt ein ähnlich wirkendes Enzym vor. Dieses wurde früher ebenfalls zur Käsebereitung verwendet.
  • Für die Beschleunigung der Fleischreifung, resp. zur Verbesserung der Zartheit können pflanzliche Proteinasen angewendet werden (Papain, Bromelain, Ficin). Die Anwendung untersteht dabei wegen dem Täuschungsschutz des Konsumenten genauen gesetzlichen Vorschriften.
  • Bei der Bierherstellung kann durch einen Abbau der Proteine während der Lagerung Kältetrübungen vermieden werden. Hier werden ebenfalls meist pflanzliche Proteinasen eingesetzt.
Käseherstellung mit Lab

Beim Ausfällen der Milch bei der Käseherstellung spaltet das Labenzym selektiv die Peptidbindung zwischen den Aminosäuren Phenylalanin an der 105-ten Stelle und Methionin an der 106-ten Stelle (Phe105-Met106) im k-Casein-Molekül. Dabei entstehen para-k-Casein und ein Glycopeptid (ein Peptid mit einem Kohlenhydratanteil). Während das Glycopeptid löslich ist, wird para-k-Casein durch die Ca2+-Ionen der Milch fällbar. Die ursprüngliche Schutzwirkung des k-Caseins geht also durch die Peptidspaltung verloren und es kommt zur Ausfällung der Caseinkomplexe und der Caseinmicellen. Die Milch wird "dick".

Rennin / Chymosin in der Medizin

Rennin ist auch ein wichtiger Bestandteil in Arzneimitteln für den menschlichen Magen (z. B. das Präparat Rennie®). Ersatzpräparate enthalten ausserdem das Enzym Pepsin.

Bei der enzymatischen Hydrolyse von Proteinen muss generell darauf geachtet werden, dass der Abbau nicht zu weit geht, da dabei bittere Peptide oder Aminosäuren entstehen. Diese Gefahr besteht, wenn das Molekulargewicht der Peptide auf unter 6000 Dalton fällt.



Fussnoten:

  • *Als Oligossacharid bezeichnet man Verbindungen mit bis zu 10 Monosaccaridresten. Sie entstehen beispielsweise beim Abbau von Stärke. Ein Zucker aus 2 Bausteinen wird als Disaccharid bezeichnet. Moleküle mit mehr als 10 Bausteinen bezeichnet man als Polysaccaride. Als Dextrine bezeichnet man Zwischenstufen, die sich aus dem Abbau von Stärke ergeben.
  • **Pankreas = Bauchspeicheldrüse; Bildet das Verdauungsenzym Pankreasproteinase (Pankreatin)



vorherige Seite
nächste Seite

BB / 28.6.2000 - Last update: 06.10.2005
Autor: Dr. Bruno Baumann / Seitenaufrufe:
[News] [FAQ] [Food chain] [x-plainmefood] [Cooking] [Allerlei] [About us]



Weisheit


Sprichwort


Wussten Sie schon...


Tipp